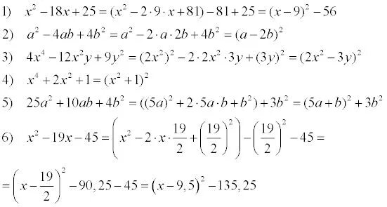
X 4 в квадрате 25