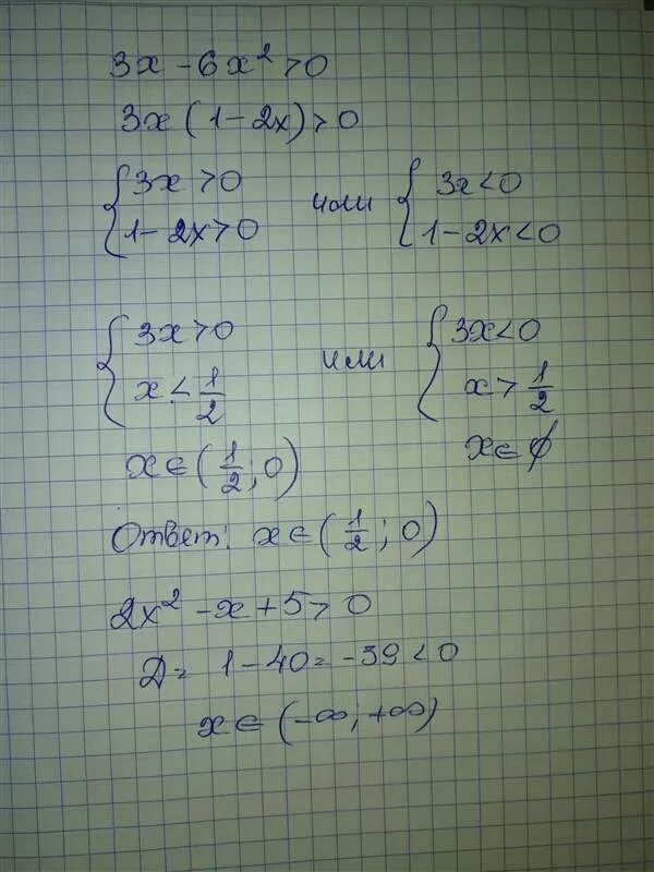
X 5 2 больше 0