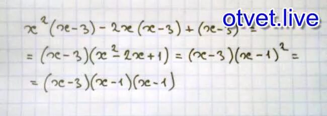
X3 в виде произведения