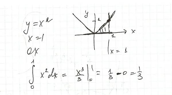
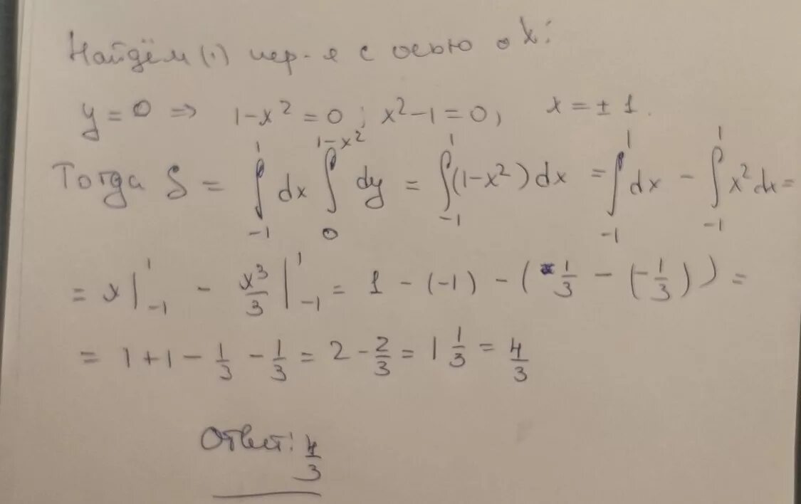
Y 7 4x 14 с осью ox