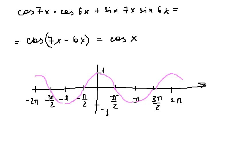
Y sin 2x 3 7 5x