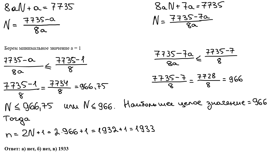
Ященко 2025 математика профиль решение