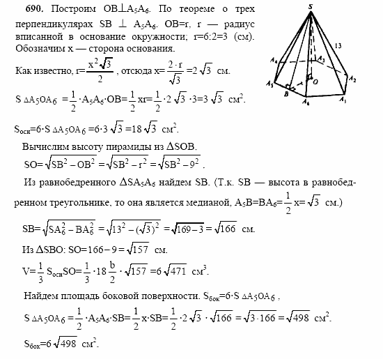
Задача 690