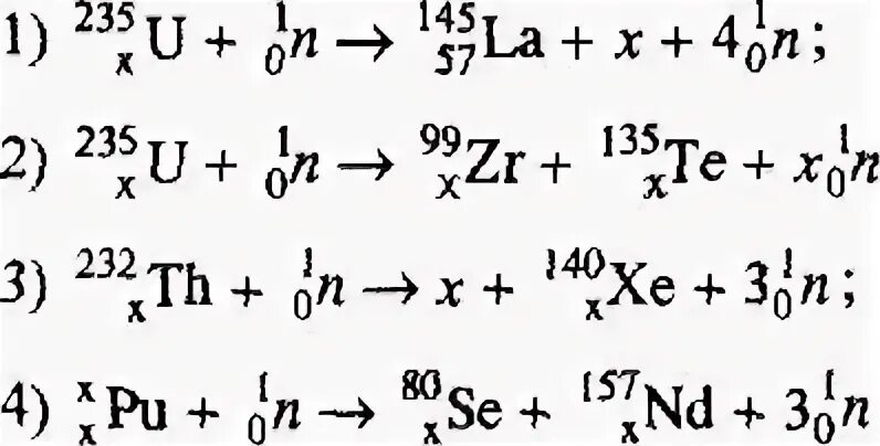
Запишите недостающие обозначения в ядерных реакциях