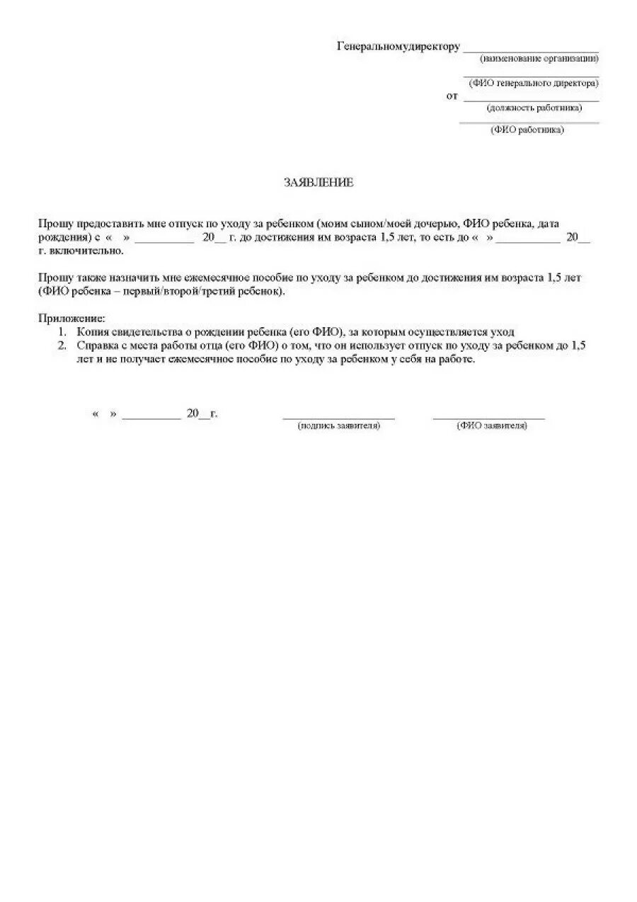
Заявление по уходу до 1.5 лет образец